Practice makes perfect
[R] 기하학적 기법 시각화 - ggplot2 패키지 본문
ggplot2(기하학적 기법 시각화)
: 그래프를 만들 때 사용하는 패키지로 'layer' 구조로 되어 있습니다.
(layer 구조 - 기본 + 옵션1 + 옵션2 ) 방식으로 쌓아올리는 형식입니다.
- 기본(x,y축 설정) + 옵션1(그래프 유형선택 - 점, 선, 막대) + 옵션2 (색상, 표식 등등)
ggplot2 패키지 특징
- 기하학적 객체들(점,선,막대등)에 미적특성(색상, 모양,크기)을 맵핑하여 플로팅한다.
- 그래픽 생성 기능과 통계 변환을 포함할 수 있다.
- ggplot2의 기본함수 qplot()-aesthetics(크기,모양,색상)과 geoms(점,선등) 으로 구성
※ qplot() : 옵션을 상세하게 지정하지 않아도 basic plot 보다 예쁘게 시각화 하고 싶을 때 사용
1) 패키지 설치와 실습 데이터 셋 가져오기
install.packages("ggplot2")
library(ggplot2)

mpg 데이터
mpg 데이터 셋 ggplot2에서 제공하는 데이터 셋으로, 1999년부터 2008년 사이의 가장 대중적인 모델 38개 자동차에 대한 연비 효율을 기록한 데이터 셋으로 전체 관측 234개와 11개의 변수로 구성되어 있다.
주요 변수:
manufacturer(제조사)
model(모델)
displ(엔진 크기)
year(연식)
cyl(실린더 수)
trans(변속기)
drv(구동 방식 : 사륜(4), 전륜(f), 후륜(r))
cty(gallon당 도시 주행 마일 수)
hwy(gallon당 고속 도로 주행 마일 수)

mpg데이터를 활용하도록 하겠습니다.
2) gplot()
gplot(x, y, data)함수 이용 플로팅
① 세로 막대 그래프 (default 값)
qplot(data = mpg, x = hwy)

고속도로 연비에 대한 분포도
② fill 속성 : hwy 변수를 대상으로 drv(구동 방식 : 사륜(4), 전륜(f), 후륜(r) 변수에 채우기(누적 막대 그래프)
qplot(hwy, data=mpg, fill=drv) # fill 옵션 적용
fill : 막대 그래프 상에서 색상으로 구별하여 시각화 - 변수에 대한 특징이 가시적으로 확인 가능

연비에 따른 구동방식의 분포도
분석 결과 : 4륜 - 연비가 좋지 못함, 전륜 - 연비가 좋음 , 후륜 - 개체가 많지 않음
③ binwidth 속성 : 막대 폭 지정 옵션
qplot(hwy, data = mpg, fill = drv, binwidth=2)
binwidth : 막대의 폭 크기 지정

④ facets 속성 : drv 변수 값으로 컬럼단위와 행단위로 패널 생성(분리)
- 열 단위로 패널 생성
qplot(hwy, data = mpg, fill = drv, facets = .~drv , binwidth=2)

- 행 단위로 패널 생성
qplot(hwy, data = mpg, fill = drv, facets = drv~. , binwidth=2)

⑤ - 1 두 개 변수 대상 qplot() 함수 적용
qplot( x축 , y축 , data) = 산점도 형태로 출력
qplot(displ, hwy, data=mpg)
mpg 데이터 셋의 displ 과 hwy 변수 이용 (산점도)

⑤ - 2 두 개 변수 대상 qplot() 함수 적용
- displ, hwy 대상으로 drv 변수값으로 생상 적용 산점도 그래프
qplot(displ, hwy, data=mpg, color = drv)

⑤ - 3 두 개 변수 대상 qplot() 함수 적용
- displ 과 hwy 변수와 관계를 drv로 구분
qplot(displ, hwy, data=mpg, color = drv, facets = .~drv)

3) 미적 요소 맵핑(mapping)
: qplot() 함수 제공하는 색상, 크기, 모양 등의 미적 요소를 데이터에 연결하여 그래프에 적용
mtcars
mtcars 데이터 셋
ggplot2 패키지에서 제공하는 데이터 셋으로, 자동차 모델에 관한 사양이 기록된 데이터 프레임이다. 전체 관측 32개와 11개의 변수로 구성되어 있다.
주요 변수: mpg(연비)
cyl(실린더 수)
displ(엔진 크기)
hp(마력)
wt(중량)
am(변속기:0=오토,1=수동)
gear(앞쪽 기어 수)
carb(카뷰레터 수)
qsec(1사분위의 거리(마일)까지 주행 시간)

mtcars 을 활용하여 특징을 살펴보겠습니다.
- wt(무게), mpg(연비) 그래프 그리기
qplot(wt,mpg, data=mtcars)

- wt(무게), mpg(연비) 그래프 그리기 + color(색상)
qplot(wt,mpg, data=mtcars, color=factor(carb)) # 색상 적용

색상 + carb(카뷰레터 수) 특징 시각화
- wt(무게), mpg(연비) 그래프 그리기 + size(크기)
qplot(wt,mpg, data=mtcars, color=factor(carb), size=qsec) # 크기 적용

크기 + qsec(1사분위의 거리(마일)까지 주행 시간) 특징 시각화
※ 거리는 일정한데 시간이 많이 걸리면 연비가 좋지 않음.
- wt(무게), mpg(연비) 그래프 그리기 + shape(모양)
qplot(wt,mpg, data=mtcars, color=factor(carb), size=qsec, shape=factor(cyl))

모양 + cyl(실린더 수) 특징 시각화
4) 기하학적 객체 적용
diamonds
diamonds 데이터 셋
ggplot2 패키지에서 제공하는 데이터 셋으로, 약 5만4천개의 다이아몬드에 관한 속성을 기록한 데이터 셋으로 53,940개의 관측치와 10개의 변수로 구성되어 있다.
주요 변수
price : 다이아몬드 가격($326 ~ $18,823)
carat : 다이아몬드 무게(0.2 ~ 5.01)
cut : 컷의 품질(Fair, Good, Very Good, Premium, Ideal)
color : 색상(J : 가장 나쁨 ~ D : 가장 좋음)
clarity : 선명도(I1 : 가장 나쁨, SI1, SI2, VS1, VS2, VVS1, VVS2, IF : 가장 좋음)
x : 길이(0~10.74mm), y : 폭(0~58.9mm), z : 깊이(0~31.8mm),
depth : 깊이 비율 = z / mean(x, y)

diamonds 활용하여 특징을 살펴보겠습니다.
ⓘ geom = "bar" (속성으로 막대그래프 그리기)
- clarity 변수 대상 cut 변수로 채우기
clarity 빈도수 막대 그래프 + fill=cut, geom = "bar" (색 채우기)
qplot(clarity, data=diamonds, fill=cut, geom = "bar") # 레이아웃에 색 채우기

clarity 빈도수 막대 그래프 + color=cut, geom = "bar" (테두리 적용)
qplot(clarity, data=diamonds, color=cut, geom = "bar")

② geom = "point" (산점도)
cyl 변수의 요인으로 point 크기 적용
qplot(wt,mpg, data=mtcars, color=factor(carb), geom = "point")

cyl 변수의 요인으로 point 크기 적용, carb변수의 요인으로 포인트 색 적용
qplot(wt,mpg, data=mtcars, color=factor(carb), size=factor(cyl), geom = "point")

qesc 변수로 포인트 크기 적용, cyl 변수의 요인으로 point 적용
qplot(wt,mpg,data=mtcars, size=qsec, color=factor(carb), shape=factor(cyl),geom = "point")

③ geom = "smooth" (분포도에 대한 평균치)
분포도 출력
qplot(wt,mpg,data=mtcars,geom = "smooth")

기하학의 2가지 사용(smooth + point)
qplot(wt,mpg,data=mtcars,geom = c("point", "smooth"))

cyl 변수의 요인으로 point, smooth 크기 적용
qplot(wt,mpg,data=mtcars,color=factor(cyl), geom = c("point", "smooth"))

④ geom = "line" (선으로 순차적인 분포도)
qplot(wt,mpg,data=mtcars,geom = "line")

기하학의 2가지 사용(point + line)
qplot(wt,mpg,data=mtcars,color=factor(cyl), geom = c("point","line"))

⑤ geom="freqpoly"
5) ggplot() 함수
단계 1(layer1) : 배경 설정하기
- x축은 displ, y축은 hwy로 지정해 배경 생성
ggplot(data=mpg, aes(x=displ, y=hwy)) #aesthetics(미학)
# aesthetics(미학)

단계 2(layer 2): 그래프 추가하기
- 배경에 산점도 추가
ggplot(data=mpg, aes(x=displ, y=hwy)) + geom_point()

x축 0~7 / y축 0~40 <default>
단계 3(layer 3) : 축범위 조정하는 설정 추가하기(축에 대한 가변적 설정)
- x축 범위값을 3~6으로 지정
ggplot(data=mpg, aes(x=displ, y=hwy)) + geom_point() + xlim(3,6) + ylim(10,30)
xlim() : x축의 범위 설정
ylim() : y축의 범위 설정

● 미적 요소 맵핑
aes(x, y, color)
p <- ggplot(diamonds, aes(carat,price,color=cut)) # (x= , y=) 생략 가능
p + geom_point()

● ① 기하학적 객체(geometric object:점/선/막대) 적용
p <- ggplot(mtcars, aes(mpg,wt,color=factor(cyl)))
p + geom_line()

● ② 기하학적 객체(geometric object:점/선/막대) 적용
p <- ggplot(mtcars, aes(mpg,wt,color=factor(cyl)))
p + geom_point()

● ① 미적 요소 맵핑과 기하학적 객체 적용
stat_bin() : (aes():미적요소) + ('geom=')) : 기하적 요소 + 기능 동시 적용
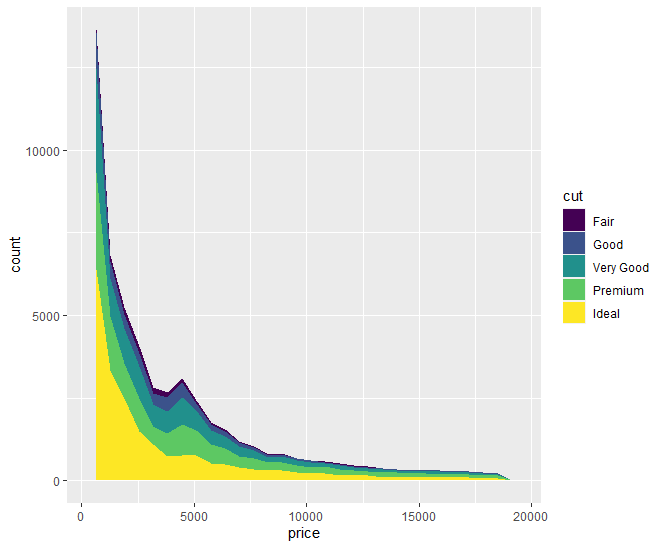
p <- ggplot(diamonds, aes(price))
p + stat_bin(aes(fill=cut), geom = 'bar')

● ② 미적 요소 맵핑과 기하학적 객체 적용
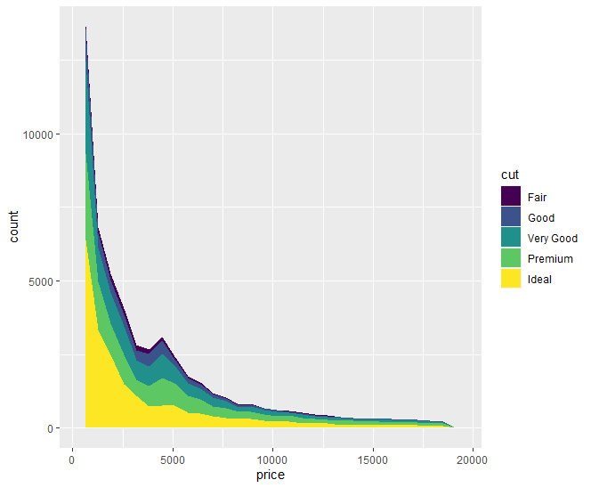
p <- ggplot(diamonds, aes(price))
p + stat_bin(aes(fill=cut), geom = "area")

● ③ 미적 요소 맵핑과 기하학적 객체 적용
p <- ggplot(diamonds, aes(price))
p + stat_bin(aes(color=cut, size = ..density..),geom = "point")

● 테마(Thema) 적용
p <- ggplot(diamonds, aes(carat,price, color=cut))
p <- p + geom_point() + ggtitle("다이아몬드 무게와 가격의 상관관계")
p

● ① 테마(Thema) 적용 + 추가
p + theme(title=element_text(color = "blue", size =25))

● ② 테마(Thema) 적용 + 추가
p + theme(
title=element_text(color = "blue", size =25), # 축제목
axis.title = element_text(size = 14,face = "bold"), # 축제목
axis.title.x=element_text(color = "green"), # x축제목
axis.title.y=element_text(color = "red")) # y축제목

● ③ 테마(Thema) 적용 + 추가
p + theme(
title=element_text(color = "blue", size =25), # 축제목
axis.title = element_text(size = 14,face = "bold"), # 축제목
axis.title.x=element_text(color = "green"), # x축제목
axis.title.y=element_text(color = "red"), # y축제목
axis.text=element_text(size = "14"), # 축이름(0~5)
axis.text.x=element_text(color="orange"), # x축이름(0~5)
axis.text.y=element_text(color="yellow"), # y축이름(0~5)
legend.title = element_text(size = 20, face = "bold", color = "red"), # 범례 세팅
legend.position = "bottom",
legend.direction = "horizontal" # 수평형태로 재배치
)

6) ggsave()
p <- ggplot(diamonds, aes(carat, price, color=cut))
p + geom_point()

- 가장 최근 그래프 저장
ggsave(file="C:/workspaces/R/output/diamond_price.pdf")
ggsave(file="C:/workspaces/R/output/diamond_price.jpg", dpi = 72)



ggsave(file="C:/workspaces/R/output/diamond_price.png",plot = p, width = 10, height = 5)


7) 지도 공간 기법 시각화
stamen Maps API 이용
- 지도 관련 패키지 설치
library(ggplot2)
install.packages("ggmap")
library(ggmap)

● 위도와 경도 중심으로 지도 시각화
- 서울을 중심으로 지도 시각화 하기
seoul <- c(left=126.77, bottom = 37.40, right = 127.17, top = 37.70)
map <- get_stamenmap(seoul, zoom = 12, maptype = 'terrain')
ggmap(map)

'빅데이터 > R' 카테고리의 다른 글
| [R] 텍스트 마이닝 분석 - 개요, 토픽 분석 설치 및 환경설정 (0) | 2020.07.09 |
|---|---|
| [R] 정형 데이터 처리(DB 연결) (0) | 2020.07.08 |
| [R] lattice 패키지 (0) | 2020.07.06 |
| [R] 코딩 변경 (0) | 2020.07.06 |
| [R] 이상치(극단치) (0) | 2020.07.06 |