Practice makes perfect
[MachineLearning] tensorflow 이용 - 로지스틱 분류분석 본문
728x90
반응형
SMALL
로지스틱 분류분석(Logistic Regression)
- 2가지 분류군으로 사용(0 / 1 encoding)
예제1) 공부시간과 합격과의 관계
0) 데이터 정리

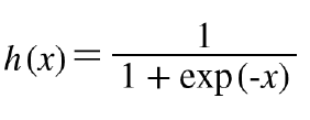
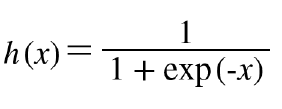
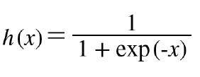
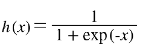
1) 가설함수 정의 : logistic regression 적용
시그모이드 함수(회쉬분석 식)


2) 손실함수(CEE) - ylog(H(x)) - (1-y)log(1-H(x))


3) 경사하강법 알고리즘

4) tensorflow 실행

예제2) 당뇨병 환자 데이터 셋(759명의 데이터 셋)
- 70~80% 학습, 20~30% 확인
0) 데이터 정리

1) 가설함수 정의

2) 손실함수 정의 (CEE)

3) 경사하각법 적용

4) tensorflow의 흐름

console)

1개 빼고는 정답과 동일한 결과를 출력합니다.
728x90
반응형
LIST
'Anaconda > MachineLearning' 카테고리의 다른 글
| [MachineLearning] NN for XOR (0) | 2020.08.19 |
|---|---|
| [MachineLearning] tensorflow 이용 - Softmax 함수 (0) | 2020.08.18 |
| [MachineLearning] 머신러닝 개요 (0) | 2020.08.14 |
| [MachineLearning] tensorflow 이용 - 선형회귀 (0) | 2020.08.13 |
| [MachineLearning] tensorflow1 사용을 위한 환경 설정 (0) | 2020.08.13 |